Database
Models
城市与交通系统
国家与区域
数据库变更
其他内容
新闻/往事
杂项
照片竞赛
线路图
链接
所有评论
动态
最近上传的照片
新闻
全网站最新新闻与评论
条款
照片审核条件
照片信息值规则
访客留言
搜索
搜索照片
搜索车辆
搜索评论
搜索作者
登入
Sign up
汉语
Русский
Čeština
Dansk
Deutsch
Eesti
English
Español
Suomi
Français
Íslenska
Italiano
Latviešu
Lietuvių
Magyar
Nederlands
Norsk
Polski
Português
Română
Slovenčina
Svenska
Türkçe
Беларуская
Български
Українська
ქართული ენა
עִבְרִית
العربية
فارْسِى
தமிழ்
日本語
汉语
BUSPHOTO
Picture Statistics
Picture ID:
125400
File Size:
473 KB
Author:
Николай Кулаков
Publication Date:
07.03.2015 22:33 EET
Days in Database:
3992
Unique views:
176
Comments:
0
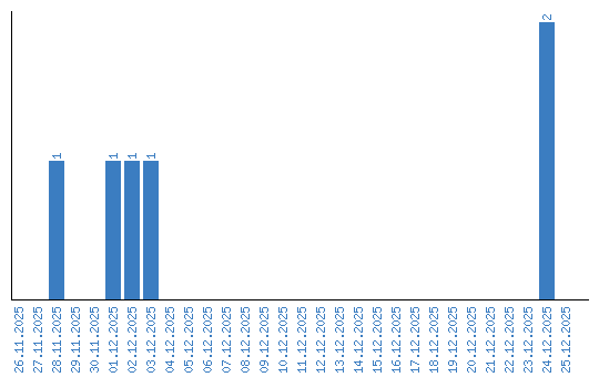
Viewing statistics by date
索引
访客留言
条款
编辑团队
Dark Theme
© Busphoto 管理员和作者相片, 2002—2026
未经作者许可,禁止使用本站图像.