BusphotoBUSPHOTO

Picture Statistics

214 KB


Picture ID:127942
File Size:214 KB
Author:Мартин
Publication Date:05.05.2015 15:59 EET
Days in Database:3888
Unique views:117
Comments:0

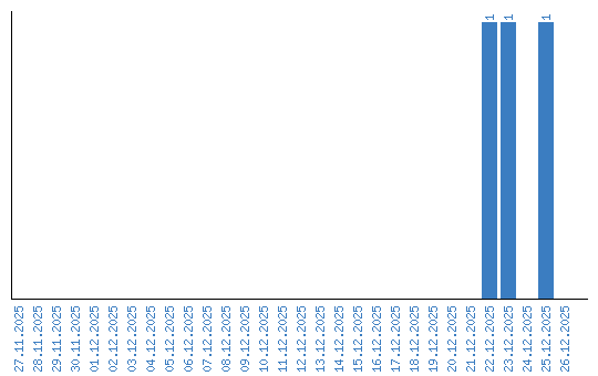
Viewing statistics by date