BusphotoBUSPHOTO

Picture Statistics

474 KB


Picture ID:131330
File Size:474 KB
Author:Дмитрий Михайлов
Publication Date:05.07.2015 19:12 EET
Days in Database:3892
Unique views:227
Comments:0

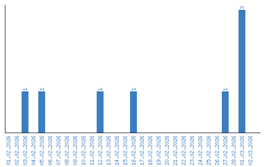
Viewing statistics by date