BusphotoBUSPHOTO

Iнфармацыя аб малюнку

367 КБ


Ідэнтыфікатар малюнка:132323
Памер файла:367 КБ
Аўтар:Андрей SIBIR
Апублікавана:21.07.2015 16:05 EET
Знаходзіцца на сайце, дзён:3810
Унікальных праглядаў:301
Каментароў:0

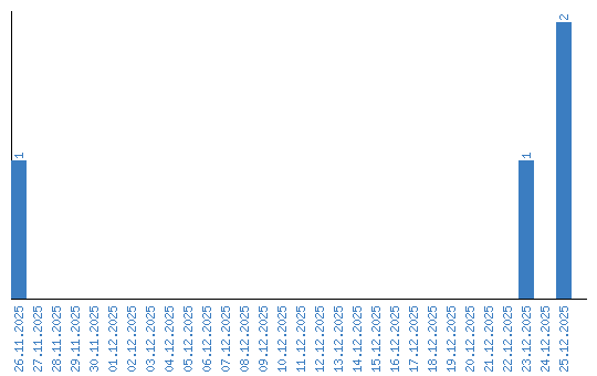
Дынаміка праглядаў па датах