BusphotoBUSPHOTO

Picture Statistics

492 KB


Picture ID:134423
File Size:492 KB
Author:Lord Byron
Publication Date:31.08.2015 20:57 EET
Days in Database:3820
Unique views:280
Comments:2

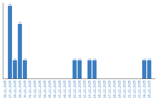
Viewing statistics by date