BusphotoBUSPHOTO

Picture Statistics

453 KB


Picture ID:135029
File Size:453 KB
Fotografato da:Андрей SIBIR
Publication Date:12.09.2015 17:36 EET
Days in Database:3801
Unique views:226
Comments:0

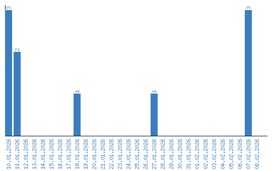
Viewing statistics by date