BusphotoBUSPHOTO

Picture Statistics

488 KB


Picture ID:135835
File Size:488 KB
Yazar:IKS
Publication Date:27.09.2015 00:09 EET
Days in Database:3772
Unique views:199
Comments:0

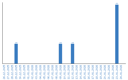
Viewing statistics by date