BusphotoBUSPHOTO

Информация за снимката

442 КБ


Идентификатор на снимки:137317
Размер на файла:442 КБ
Автор:Dhanny
Качено:24.10.2015 21:29 EET
Стоящо в сайта, дни:3751
Уникални преглеждания:106
Коментари:0

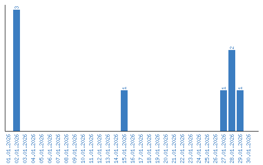
Динамика на преглежданията по дата