BusphotoBUSPHOTO

Picture Statistics

254 KB


Picture ID:13780
File Size:254 KB
Fotografato da:Дмитрий_931
Publication Date:23.09.2011 17:25 EET
Days in Database:5208
Unique views:268
Comments:0

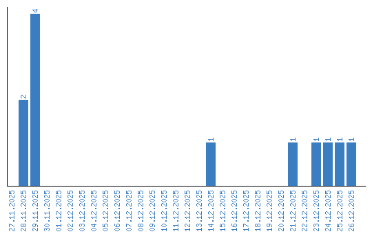
Viewing statistics by date