BusphotoBUSPHOTO

Picture Statistics

340 KB


Picture ID:140336
File Size:340 KB
Author:SavA
Publication Date:08.12.2015 19:18 EET
Days in Database:3676
Unique views:186
Comments:0

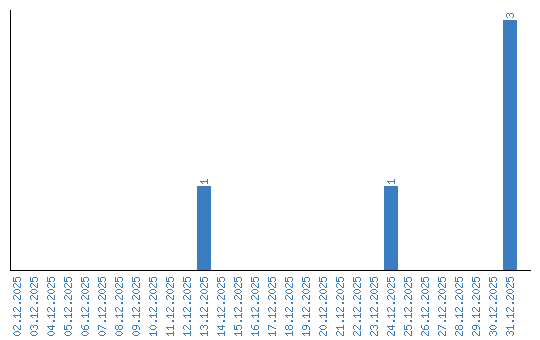
Viewing statistics by date