BusphotoBUSPHOTO

Picture Statistics

496 KB


Picture ID:143070
File Size:496 KB
Author:Николай Колесников
Publication Date:21.01.2016 16:00 EET
Days in Database:3626
Unique views:424
Comments:0

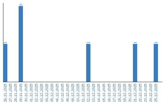
Viewing statistics by date