BusphotoBUSPHOTO

Picture Statistics

366 KB


Picture ID:143367
File Size:366 KB
Posted by:Сергей Шпиндлет
Publication Date:25.01.2016 22:53 EET
Days in Database:3671
Unique views:349
Comments:0

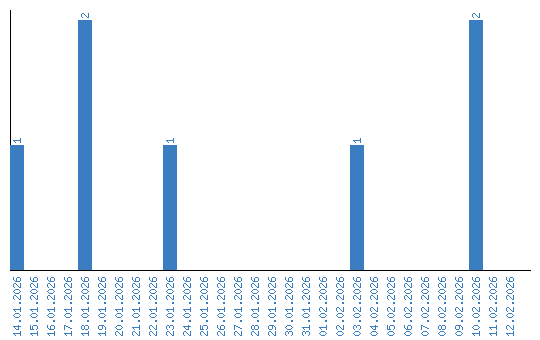
Viewing statistics by date