BusphotoBUSPHOTO

Picture Statistics

373 KB


Picture ID:145610
File Size:373 KB
Author:Ashark94
Publication Date:29.02.2016 11:09 EET
Days in Database:3649
Unique views:196
Comments:0

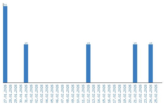
Viewing statistics by date