BusphotoBUSPHOTO

Picture Statistics

344 KB


Picture ID:149305
File Size:344 KB
Autorul:tranlife
Publication Date:26.04.2016 09:20 EET
Days in Database:3530
Unique views:286
Comments:0

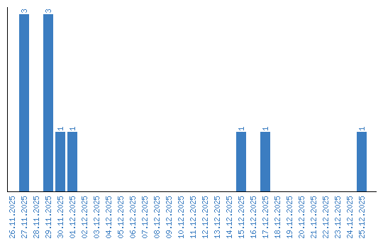
Viewing statistics by date