BusphotoBUSPHOTO

Picture Statistics

570 KB


Picture ID:151319
File Size:570 KB
Author:Zigzag Makryg
Publication Date:28.05.2016 17:59 EET
Days in Database:3535
Unique views:283
Comments:0

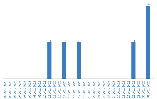
Viewing statistics by date