BusfotoBUSFOTO

Bildinformationen

462 KB


Foto-ID:152062
Dateigröße:462 KB
Aufgenommen von:Zigzag Makryg
Veröffentlicht am:10.06.2016 08:35 EET
Tage seit Veröffentlichung:3486
Aufrufe:312
Kommentare:0

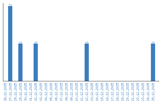
Aufrufestatistik (Tage)