BusphotoBUSPHOTO

Iнфармацыя аб малюнку

319 КБ


Ідэнтыфікатар малюнка:152247
Памер файла:319 КБ
Аўтар:Qvad
Апублікавана:12.06.2016 11:10 EET
Знаходзіцца на сайце, дзён:3484
Унікальных праглядаў:245
Каментароў:0

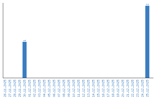
Дынаміка праглядаў па датах