BusphotoBUSPHOTO

Picture Statistics

479 KB


Picture ID:152305
File Size:479 KB
Author:Światosław Neuhauz
Publication Date:12.06.2016 21:15 EET
Days in Database:3519
Unique views:175
Comments:0

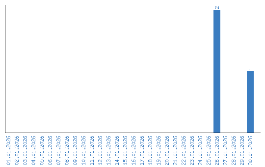
Viewing statistics by date