BusphotoBUSPHOTO

Iнфармацыя аб малюнку

298 КБ


Ідэнтыфікатар малюнка:154099
Памер файла:298 КБ
Аўтар:Андрей SIBIR
Апублікавана:14.07.2016 17:18 EET
Знаходзіцца на сайце, дзён:3477
Унікальных праглядаў:329
Каментароў:0

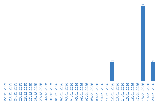
Дынаміка праглядаў па датах