BusphotoBUSPHOTO

Picture Statistics

454 KB


Picture ID:154967
File Size:454 KB
Author:Максим Н.
Publication Date:31.07.2016 00:05 EET
Days in Database:3471
Unique views:284
Comments:1

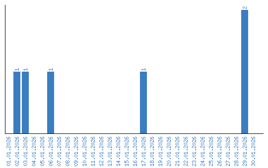
Viewing statistics by date