BusphotoBUSPHOTO

Picture Statistics

485 KB


Picture ID:157001
File Size:485 KB
Autorul:Daniel Podolsky
Publication Date:07.09.2016 13:51 EET
Days in Database:3457
Unique views:216
Comments:0

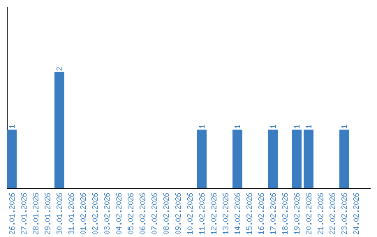
Viewing statistics by date