BusphotoBUSPHOTO

Picture Statistics

428 KB


Picture ID:158747
File Size:428 KB
Fotografato da:Ashark94
Publication Date:06.10.2016 20:10 EET
Days in Database:3429
Unique views:142
Comments:0

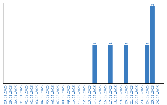
Viewing statistics by date