BusphotoBUSPHOTO

Picture Statistics

294 KB


Picture ID:160174
File Size:294 KB
Yazar:Archi
Publication Date:29.10.2016 22:21 EET
Days in Database:3373
Unique views:336
Comments:0

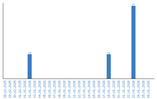
Viewing statistics by date