BusphotoBUSPHOTO

Statistika obrázku

489 kB


Identifikátor obrázku:160963
Velikost souboru:489 kB
Autor:Światosław Neuhauz
Zveřejněno:10.11.2016 21:30 EET
Nachází se na stránkách (dní):3334
Jednotlivých zhlédnutí:212
Komentářů:0

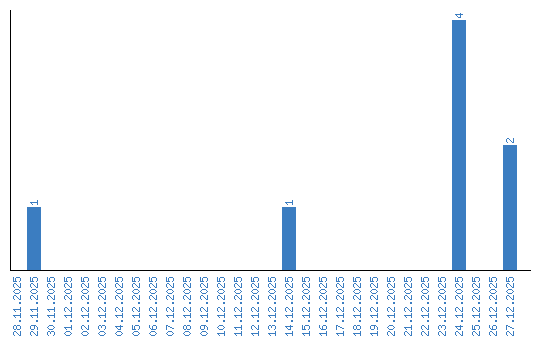
Zhlédnutí po jednotlivých dnech