BusphotoBUSPHOTO

Picture Statistics

335 KB


Picture ID:161156
File Size:335 KB
Author:Серёга
Publication Date:13.11.2016 16:46 EET
Days in Database:3330
Unique views:286
Comments:0

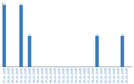
Viewing statistics by date