BusphotoBUSPHOTO

Picture Statistics

481 KB


Picture ID:162209
File Size:481 KB
Author:Światosław Neuhauz
Publication Date:04.12.2016 20:24 EET
Days in Database:3373
Unique views:335
Comments:0

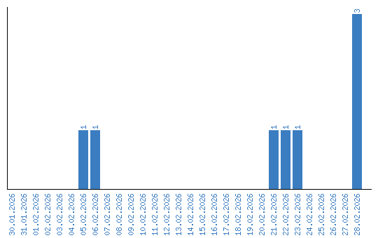
Viewing statistics by date