BusphotoBUSPHOTO

Picture Statistics

244 KB


Picture ID:164264
File Size:244 KB
Author:kocour
Publication Date:06.01.2017 09:30 EET
Days in Database:3318
Unique views:346
Comments:0

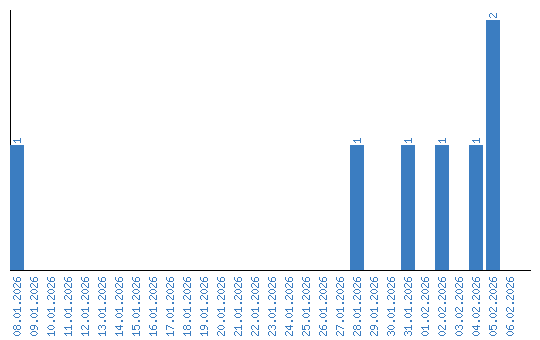
Viewing statistics by date