BusphotoBUSPHOTO

Picture Statistics

464 KB


Picture ID:164335
File Size:464 KB
Author:kocour
Publication Date:07.01.2017 12:49 EET
Days in Database:3318
Unique views:287
Comments:0

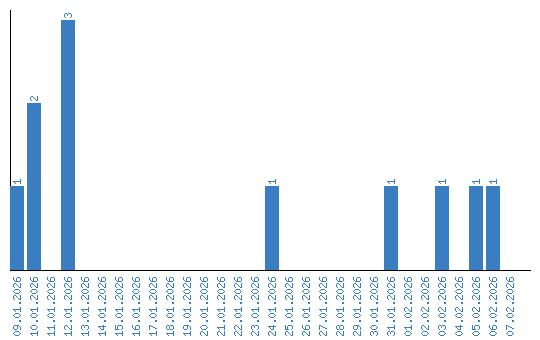
Viewing statistics by date