BusphotoBUSPHOTO

Statistiques d'images

360 KO


ID de l'image:165475
Taille du fichier:360 KO
Auteur:kocour
Date de publication:24.01.2017 14:15 EET
Jours dans la base de données:3273
Vues uniques:437
Commentaires:0

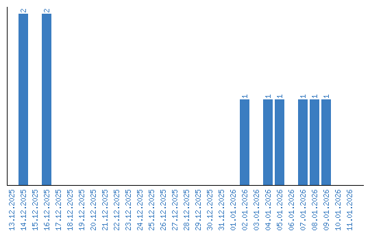
Affichage des statistiques par date