BusphotoBUSPHOTO.EU

Statystyki zdjęcia

213 kB


Identyfikator zdjęcia:165579
Rozmiar pliku:213 kB
Autor:Игорь Январь
Data publikacji:26.01.2017 13:05 EET
Liczba wyświetleń dzisiaj:3274
Łączna ilość wyświetleń:317
Komentarze:0

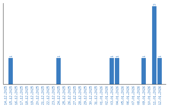
Liczba oglądających według dat