BusphotoBUSPHOTO

Iнфармацыя аб малюнку

348 КБ


Ідэнтыфікатар малюнка:16575
Памер файла:348 КБ
Аўтар:Радеев Виталий
Апублікавана:17.11.2011 17:16 EET
Знаходзіцца на сайце, дзён:5185
Унікальных праглядаў:256
Каментароў:0

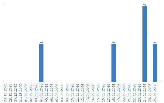
Дынаміка праглядаў па датах