BusphotoBUSPHOTO

Picture Statistics

492 KB


Picture ID:167720
File Size:492 KB
Fotografato da:Никита Москвичев
Publication Date:14.02.2017 21:43 EET
Days in Database:3286
Unique views:268
Comments:1

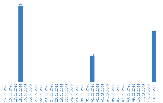
Viewing statistics by date