BusphotoBUSPHOTO

Picture Statistics

190 KB


Picture ID:168756
File Size:190 KB
Autorul:spicy_e
Publication Date:22.02.2017 22:18 EET
Days in Database:3233
Unique views:274
Comments:0

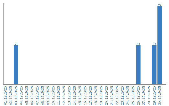
Viewing statistics by date