BusphotoBUSPHOTO

Picture Statistics

469 KB


Picture ID:169322
File Size:469 KB
Fotografato da:Grad96
Publication Date:27.02.2017 18:41 EET
Days in Database:3268
Unique views:170
Comments:0

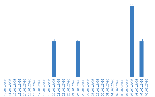
Viewing statistics by date