BusphotoBUSPHOTO

Picture Statistics

388 KB


Picture ID:169394
File Size:388 KB
Author:Grad96
Publication Date:27.02.2017 23:18 EET
Days in Database:3272
Unique views:170
Comments:0

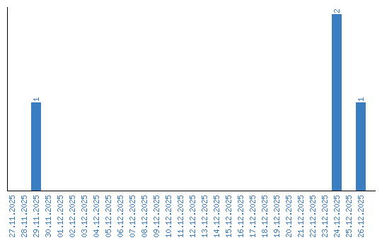
Viewing statistics by date