BusphotoBUSPHOTO

Iнфармацыя аб малюнку

469 КБ


Ідэнтыфікатар малюнка:169639
Памер файла:469 КБ
Аўтар:Georg
Апублікавана:01.03.2017 22:00 EET
Знаходзіцца на сайце, дзён:3268
Унікальных праглядаў:171
Каментароў:0

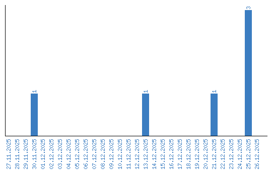
Дынаміка праглядаў па датах