BusphotoBUSPHOTO

Picture Statistics

117 KB


Picture ID:173021
File Size:117 KB
Author:T131
Publication Date:22.03.2017 20:25 EET
Days in Database:3218
Unique views:268
Comments:0

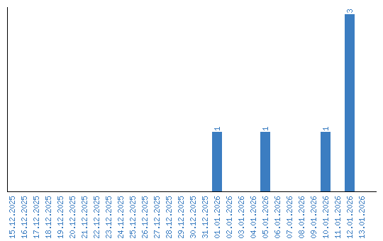
Viewing statistics by date