BusphotoBUSPHOTO

Picture Statistics

373 KB


Picture ID:173756
File Size:373 KB
Fotografato da:kokich_0391
Publication Date:27.03.2017 08:15 EET
Days in Database:3213
Unique views:230
Comments:0

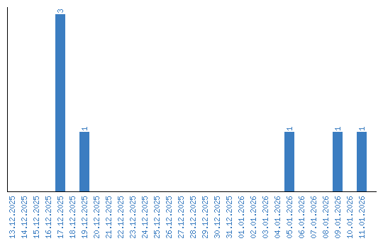
Viewing statistics by date