BusphotoBUSPHOTO

Picture Statistics

329 KB


Picture ID:176074
File Size:329 KB
Autorul:Valius Kedainietis
Publication Date:08.04.2017 20:23 EET
Days in Database:3183
Unique views:329
Comments:0

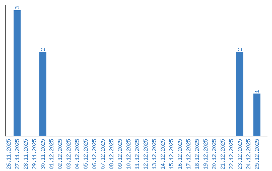
Viewing statistics by date