BusphotoBUSPHOTO

Picture Statistics

344 KB


Picture ID:176215
File Size:344 KB
Author:Олег Н.
Publication Date:09.04.2017 10:06 EET
Days in Database:3228
Unique views:175
Comments:0

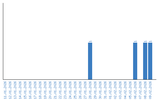
Viewing statistics by date