BusphotoBUSPHOTO

Picture Statistics

327 KB


Picture ID:176577
File Size:327 KB
Author:Valius Kedainietis
Publication Date:10.04.2017 17:32 EET
Days in Database:3182
Unique views:262
Comments:0

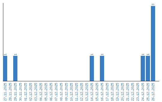
Viewing statistics by date