BussfotoBUSSFOTO

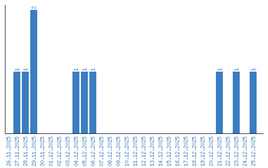
Bildstatistik

491 KB


Bild ID:178506
Filstorlek:491 KB
Författare:Михаил Свистунов
Publiceringsdatum:20.04.2017 21:45 EET
Dagar i databasen:3221
Unika visningar:358
kommentarer:0

Visar statistik efter datum