BusphotoBUSPHOTO

Picture Statistics

324 KB


Picture ID:179815
File Size:324 KB
Fotografato da:Valius Kedainietis
Publication Date:27.04.2017 22:55 EET
Days in Database:3202
Unique views:282
Comments:0

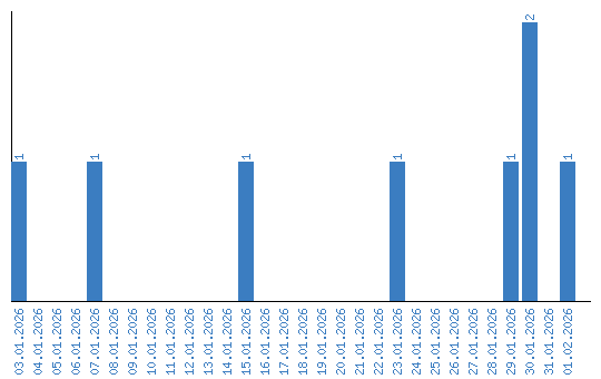
Viewing statistics by date