BusphotoBUSPHOTO

Statistika obrázku

182 kB


Identifikátor obrázku:182685
Velikost souboru:182 kB
Autor:AC Rover
Zveřejněno:14.05.2017 11:52 EET
Nachází se na stránkách (dní):3148
Jednotlivých zhlédnutí:139
Komentářů:0

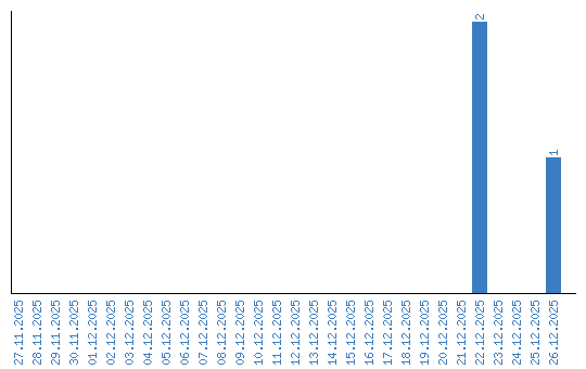
Zhlédnutí po jednotlivých dnech