BusphotoBUSPHOTO

Picture Statistics

392 KB


Picture ID:183074
File Size:392 KB
Fotografato da:prchandran82
Publication Date:16.05.2017 18:16 EET
Days in Database:3179
Unique views:315
Comments:0

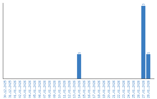
Viewing statistics by date