BusphotoBUSPHOTO

Informatsioon foto kohta

510 KB


Pildi ID:183462
Faili suurus:510 KB
Autor:Cosme
Avaldatud:19.05.2017 02:21 EET
Päevi saidil:3143
Unikaalseid vaatamisi:167
Kommentaare:2

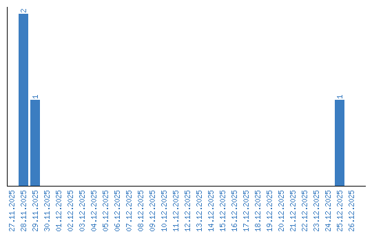
Vaatamiste statistika kuupäeviti