BusphotoBUSPHOTO

Picture Statistics

338 KB


Picture ID:18463
File Size:338 KB
Fotografato da:Дмитрий_931
Publication Date:16.12.2011 19:10 EET
Days in Database:5123
Unique views:191
Comments:0

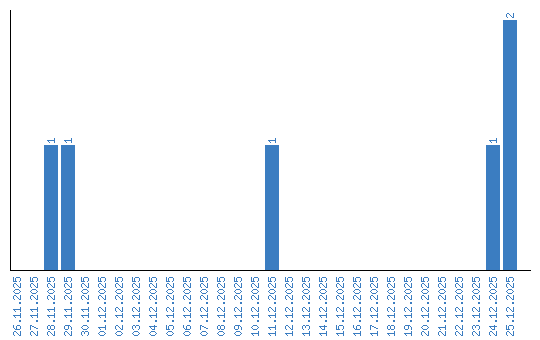
Viewing statistics by date