BusphotoBUSPHOTO

Picture Statistics

272 KB


Picture ID:185597
File Size:272 KB
Author:MIRVAN
Publication Date:01.06.2017 16:58 EET
Days in Database:3130
Unique views:328
Comments:0

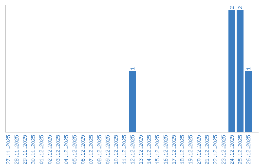
Viewing statistics by date