BusphotoBUSPHOTO

Picture Statistics

469 KB


Picture ID:190449
File Size:469 KB
Author:V11
Publication Date:09.07.2017 12:25 EET
Days in Database:3121
Unique views:265
Comments:4

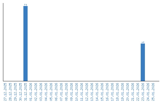
Viewing statistics by date