BusphotoBUSPHOTO

Statistiques d'images

360 KO


ID de l'image:190932
Taille du fichier:360 KO
Auteur:Ashark94
Date de publication:13.07.2017 19:07 EET
Jours dans la base de données:3149
Vues uniques:220
Commentaires:0

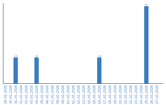
Affichage des statistiques par date